系统仿真学报 ›› 2022, Vol. 34 ›› Issue (8): 1855-1863.doi: 10.16182/j.issn1004731x.joss.22-0497
收稿日期:2022-05-13
修回日期:2022-07-29
出版日期:2022-08-30
发布日期:2022-08-15
通讯作者:
曹群生
E-mail:zhaoyingyan2010@163.com;qunsheng@nuaa.edu.cn
作者简介:赵英燕(1987-),女,博士生,研究方向为国产高性能数值软件的工业云平台的实现与性能评估等。 E-mail:zhaoyingyan2010@163.com
Yingyan Zhao1(
), Qunsheng Cao1(
), Zhengnan Cao2, Jianchun Wang3
Received:2022-05-13
Revised:2022-07-29
Online:2022-08-30
Published:2022-08-15
Contact:
Qunsheng Cao
E-mail:zhaoyingyan2010@163.com;qunsheng@nuaa.edu.cn
摘要:
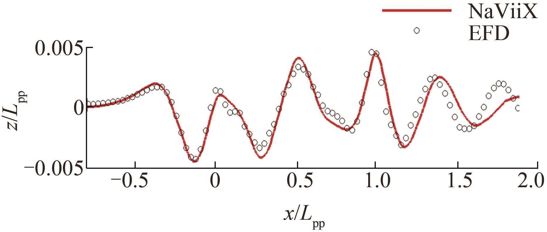
研制适应于高性能数值软件部署和用户使用便捷的云平台,对于软件的研发和应用具有重要的工程意义。基于Web工业云平台的高性能计算资源,对国产船舶水动力学数值软件进行大规模高性能测试工作。通过选取典型的带球鼻艏的集装箱船KCS(kriso container ship)计算模型,采用该软件并行求解器模拟实际船型的航行兴波问题,达到与实际船体附近波形基本一致。国产船舶水动力学数值软件在工业云平台上的典型应用场景的成功测试,为研究船舶航行兴波问题提供了有力的自主可控国产工程仿真工具。
中图分类号:
赵英燕, 曹群生, 曹振南, 王建春. 国产船舶水动力数值软件在工业云平台的实现[J]. 系统仿真学报, 2022, 34(8): 1855-1863.
Yingyan Zhao, Qunsheng Cao, Zhengnan Cao, Jianchun Wang. Realization of Domestic Ship Hydrodynamic Numerical Software on Industrial Cloud Platform[J]. Journal of System Simulation, 2022, 34(8): 1855-1863.
| 1 | 顾蓓蓓. 高性能计算应用驱动发展研究分析[J]. 科研信息化技术与应用, 2019, 10(4): 63-70. |
| Gu Beibei. Research and Analysis on Application-Driven Development of High-performance Computing[J]. E-Science Technology & Application, 2019, 10(4): 63-70. | |
| 2 | 历军. 高性能计算应用概览[M]. 北京: 清华大学出版社, 2018: 286-305. |
| Li Jun. Overview of High-performance Computing Applications[M]. Beijing: University Press, 2018: 286-305. | |
| 3 | 莫则尧. 高性能数值模拟编程框架研究进展[J]. 科研信息化技术与应用, 2015, 6(4): 11-19. |
| Mo Zeyao. Progress on High Performance Programming Frame Work for Numerical Simulation[J]. E-Science Technology & Application, 2015, 6(4): 11-19. | |
| 4 | 李国杰. 序言: 发展高性能计算需要思考的几个战略性问题[J]. 中国科学院院刊, 2019(6): 605-608. |
| Li Guojie. Prologue: Several Strategic Issues to be Considered in Developing High Performance Computing[J]. Chinese Academy of Sciences, 2019(6): 605-608. | |
| 5 | Lu Y T, Qian D P, Fu H H, et al. Will Supercomputers be Super-Data and Super-AI Machines?[J]. Communications of the ACM(S0001-0782), 2018, 61(11): 82-87. |
| 6 | 钱德沛. 构建支撑科技创新的新一代计算基础设施[J]. 数据与计算发展前沿, 2021, 2(1): 1-17. |
| Qian Depei. Building a New Generation of Computing Infrastructure to Support Technological Innovation[J]. The Frontier of Data and Computing, 2021, 2(1): 1-17. | |
| 7 | 戴霖. 基于应用的高性能计算平台作业调度算法研究[J]. 电声技术, 2019, 43(5): 52-53. |
| Dai Lin. Research on Application-based Job Scheduling Algorithm for High Performance Computing Platform[J]. Audio Engineering, 2019, 43(5): 52-53. | |
| 8 | 梁川, 赵峰. 低傅氏数兴波数值预报的不稳定现象及其解决方案[J]. 船舶力学, 2021, 25(4): 399-405. |
| Liang Chuan, Zhao Feng. Instability Phenomenon and its Solution in Numerical Prediction of Low Fourier Number Wave-making [J]. Ship Mechanics, 2021, 25(4): 399-405. | |
| 9 | 迟学斌. 国家高性能计算环境发展报告(2002-2017年)[M]. 北京: 科学出版社, 2018: 1-12. |
| Chi Xuebin. National High-Performance Computing Environment Development Report (2002-2017) [M]. Beijing: Science Press, 2018: 1-12. | |
| 10 | 李国杰. 序言: 发展高性能计算需要思考的几个战略性问题[J]. 中国科学院院刊, 2019(6): 605-608. |
| Li Guojie. Preface: Several Strategic Issues to Considerin Developing High Performance Computing [J]. Journal of Chinese Academy of Sciences, 2019(6): 605-608. | |
| 11 | 吴乘胜, 王星, 王建春, 等. 支持笛卡尔混合网格的不可压流动CFD求解器开发与验证[J]. 中国造船, 2021, 62(3): 127-138. |
| Wu Chengsheng, Wang Xing, Wang Jianchun, et al. Development and Validation of Incompressible Flow CFD Solvers Supporting Cartesian Hybrid Grids [J]. China Shipbuilding, 2021, 62(3): 127-138. | |
| 12 | 凌敏, 王骥. 基于Netty和MongoDB的车联网Web系统[J]. 测绘与空间地理信息, 2021, 44(10): 55-28, 62. |
| Ling Min, Wang Ji. Netty and MongoDB Based Internetof Vehicles Web System [J]. Mapping and Spatial Geographic Information, 2021, 44(10): 55-28, 62. | |
| 13 | 彭蔓蔓, 徐立超, 王颖. 异构多核处理器的任务分配及能耗的研究[J]. 计算机应用研究, 2010, 27(5): 1729-1731. |
| Peng Manman, Xu Lichao, Wang Ying. Research on Task Allocation and Energy Consumption of Heterogeneous Multi-Core Processors [J]. Computer Application Research, 2010, 27(5): 1729-1731. | |
| 14 | 周磊, 解茂昭, 贾明. 不同亚网格尺度应力模型在燃油喷雾大涡模拟中的应用[J]. 内燃机学报, 2011, 29(1): 29-35. |
| Zhou Lei, Xie Maozhao, Jia Ming. Application of Different Subgrid Scale Stress Models in Large Eddy Simulation of Fuel Spray [J]. Journal of Internal Combustion Engine, 2011, 29(1): 29-35. | |
| 15 | 王建华, 万德成. 高航速KCS船艏破波数值模拟和实验研究[C]//第三十届全国水动力学研讨会暨第十五届全国水动力学学术会议论文集(上册). 上海: 水动力学研究与进展, 2019: 540-545. DOI:10.26914/c.cnkihy.2019.013217 . |
| Wang Jianhua, Wan Decheng. Numerical Simulation and Experimental Study on Bow Breaking Wave of High Speed KCS Ship [C]//30th National Symposium on Hydrodynamics and the 15th National Symposium on Hydrodynamics. Shanghai: Research and Development of Hydrodynamics, 2019: 540-545. DOI:10.26914/c.cnkihy.2019.013217 . | |
| 16 | 耿文静, 董红斌, 丁蕊. 基 于 MPI 的并行多目标粒子群算法[J]. 模式识别与人工智能, 2018, 31(7): 668-676. |
| Geng Wenjing, Dong Hongbin, Ding Rui. MPI-based Parallel Multiobjective Particle Swarm Optimization Algorithm[J]. Pattern Recognition and Artificial Intelligence, 2018, 31(7): 668-676. | |
| 17 | Kim W J, Van S H, Kim D H. Measurement of Flows Around Modern Commercial Ship Models[J]. Experiments in Fluids(S0723-4864), 2001, 31(5): 567-578. |
| [1] | 邸彦强, 李婷, 冯少冲, 刘琼瑶, 吕建红, 陈志佳, 张阳, 曹朋飞. 云边端架构的装备精确维修平行仿真系统[J]. 系统仿真学报, 2022, 34(09): 1909-1919. |
| [2] | 李铭浩, 毕文豪, 张安, 孙文轩. 穿透性制空下无人飞行器发射母机作战体系及关键技术[J]. 系统仿真学报, 2022, 34(9): 1920-1932. |
| [3] | 傅妍芳, 张楠, 魏佳宁, 曲少春, 卢颖, 刘畅. 基于OPNET的机群数据链混合TDMA协议仿真[J]. 系统仿真学报, 2022, 34(9): 1933-1940. |
| [4] | 罗俊仁, 张万鹏, 袁唯淋, 胡振震, 陈少飞, 陈璟. 面向多智能体博弈对抗的对手建模框架[J]. 系统仿真学报, 2022, 34(9): 1941-1955. |
| [5] | 张莉, 张惠珍, 刘冬, 陆雨欣. 考虑紧迫度的应急物资调度及粒子群算法求解[J]. 系统仿真学报, 2022, 34(9): 1988-1998. |
| [6] | 祁启明, 傅瑞罡, 王平, 汪敏, 范红旗. 面向小型航空器应用的光学复眼仿真软件设计[J]. 系统仿真学报, 2022, 34(9): 1999-2008. |
| [7] | 朱依婷, 闫云, 何兆成. 公交与社会车辆混合的中观交通建模与仿真[J]. 系统仿真学报, 2022, 34(9): 2019-2027. |
| [8] | 李成兵, 李云飞, 吴鹏. 考虑时间特性的城市群客运网络抗毁性研究[J]. 系统仿真学报, 2022, 34(9): 2037-2045. |
| [9] | 盛俊杰, 唐兆, 董少迪, 吴舒扬, 梁浩. 铁道车辆动力学云平台架构设计及原型验证[J]. 系统仿真学报, 2022, 34(9): 2056-2064. |
| [10] | 张立峰, 苗雨. 一种声学层析成像温度分布高分辨率重建方法[J]. 系统仿真学报, 2022, 34(9): 2065-2073. |
| [11] | 郑文, 张喆, 朱静宜. 双平台市场排他性竞争仿真[J]. 系统仿真学报, 2022, 34(9): 2098-2106. |
| [12] | 金炜东, 张述礼, 唐鹏, 张曼. 基于稠密残差块与通道像素注意力的图像去雾网络[J]. 系统仿真学报, 2022, 34(8): 1663-1673. |
| [13] | 张会林, 金玉洁, 杨海马. ANFIS优化磁链滑模观测器的PMSM无传感器控制[J]. 系统仿真学报, 2022, 34(8): 1682-1690. |
| [14] | 谢启苗, 郭帅帅. 基于社会力模型的客船人员疏散仿真研究[J]. 系统仿真学报, 2022, 34(8): 1710-1724. |
| [15] | 胡万杰, 董建军, 任睿, 陈志龙. 考虑模糊不确定的地铁货运系统成网布局规划[J]. 系统仿真学报, 2022, 34(8): 1725-1740. |
| 阅读次数 | ||||||
|
全文 |
|
|||||
|
摘要 |
|
|||||