系统仿真学报 ›› 2026, Vol. 38 ›› Issue (3): 651-669.doi: 10.16182/j.issn1004731x.joss.25-0855

• 论文 • 上一篇    

基于升阻比-速度剖面的解析再入制导方法

孙伟博1,2,3, 马萍1,2, 王玉轩4, 王松艳1,2, 晁涛1,2   

  1. 1.哈尔滨工业大学 控制与仿真中心,黑龙江 哈尔滨 150080
    2.复杂系统建模与仿真全国重点实验室,黑龙江 哈尔滨 150080
    3.北京控制与电子技术研究所,北京 100038
    4.空基信息感知与融合全国重点实验室,河南 洛阳 471009
  • 收稿日期:2025-09-05 修回日期:2025-10-07 出版日期:2026-03-18 发布日期:2026-03-27
  • 通讯作者: 晁涛
  • 第一作者简介:孙伟博(1994-),男,博士,研究方向为高超声速飞行器任务规划与制导控制。
  • 基金资助:
    国家自然科学基金(62273119);航空科学基金联合资助项目(20240001077001)

Analytical Reentry Guidance Method Based on Lift-to-drag Ratio-velocity Profile

Sun Weibo1,2,3, Ma Ping1,2, Wang Yuxuan4, Wang Songyan1,2, Chao Tao1,2   

  1. 1.Control and Simulation Center, Harbin Institute of Technology, Harbin 150080, China
    2.National Key Laboratory of Modeling and Simulation for Complex Systems, Harbin 150080, China
    3.Beijing Institute of Control & Electronic Technology, Beijing 100038, China
    4.National Key Laboratory of Air-based Information Perception and Fusion, Luoyang 471009, China
  • Received:2025-09-05 Revised:2025-10-07 Online:2026-03-18 Published:2026-03-27
  • Contact: Chao Tao

摘要:

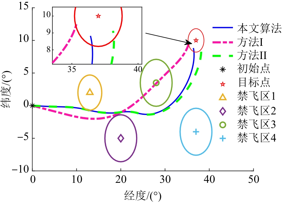
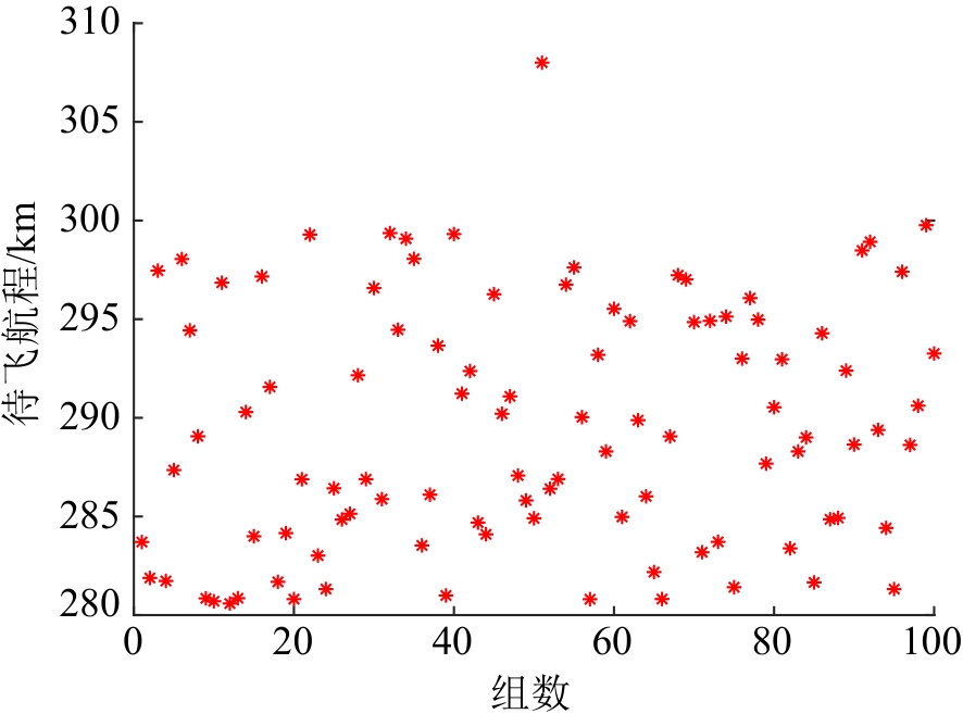
针对高超声速滑翔飞行器再入过程中的飞行时间精确控制与禁飞区规避问题,提出了一种基于升阻比-速度剖面的解析再入制导方法。对再入运动模型进行降阶处理,利用切比雪夫级数近似非线性积分项与微分方程,建立滑翔轨迹的解析表达式推导飞行时间、待飞航程与升阻比-速度剖面之间的解析关系,将升阻比-速度剖面优化问题转化为攻角-速度剖面的分段参数优化问题。通过在线更新机制实时调整升阻比剖面,并结合基于改进人工势场法的自适应侧向制导律,在满足常规再入约束的同时,满足飞行时间约束和禁飞区约束。仿真结果表明:该方法能够有效协调多飞行器的末段到达时序,并成功规避多个禁飞区。

关键词: 高超声速滑翔飞行器, 升阻比-速度剖面, 解析再入制导, 禁飞区约束, 时间约束

Abstract:

An analytical reentry guidance method based on the lift-to-drag ratio and velocity profile was proposed to address the challenges of precise flight time control and prohibited area avoidance for the hypersonic glide flight vehicle during the reentry phase. A reduced-order reentry motion model was established; the Chebyshev series was used to approximate its nonlinear integral terms and differential equations; analytical expressions for the glide trajectory were yielded. The analytical relationships among flight time, remaining range, and the lift-to-drag ratio and velocity profile were derived. The optimization problem of lift-to-drag ratio and velocity profile was converted into a segmented parameter optimization problem for the angle-of-attack and velocity profile. An online update mechanism was designed to adjust the lift-to-drag ratio profile in real time and combined with the adaptive lateral guidance law based on the improved artificial potential field method, to satisfy both flight time and prohibited area constraints while satisfying conventional reentry constraints. Simulation results demonstrate that the proposed method can effectively coordinate the terminal arrival time sequence of multiple flight vehicles and reliably avoid multiple prohibited areas.

Key words: hypersonic glide flight vehicle, lift-to-drag ratio and velocity profile, analytical reentry guidance, prohibited area constraint, time constraint

中图分类号: